

2026年强基计划39所高校在校测中均设置了面试环节。其中北京理工大学、哈尔滨工业大学等16所院校,校测仅安排面试、不设笔试,面试成绩直接作为校测成绩。
北京理工大学、华南理工大学、大连理工大学等部分高校,还明确划定了面试合格分数线。这也意味着,即便考生高考成绩与相关考核分数优异,若面试未达到合格标准,仍将被淘汰。
小智已为大家整理汇总了2026年这16所仅面试院校的入围规则、招生专业、面试要求、历年分数线及校测真题等内容,同学们可及时查阅参考。
强基计划是什么
39所高校2026年招生简章全览
2026强基计划招生简章发布时间及报名时间汇总
只考面试的16所院校招生要点汇总
报考仅面试院校注意事项及备考攻略
强基计划2025年笔试真题汇总
强基计划面试真题汇总
一
强基计划是什么?
强基计划全称"基础学科招生改革试点",由教育部2020年启动,面向数学、物理、化学、生物、历史、哲学、古文字学等基础学科,以及核技术、生物育种、储能等国家重大战略领域,从高考生中专项选拔培养拔尖人才。
与普通高考的三大核心区别
1、限报1所:全国只能选1所学校的强基计划,不能兼报,不能更改。
2、两类考生:一类是高考成绩优异的普通考生;二类是数学/物理/化学/生物/信息学五大学科奥赛全国决赛一等奖或二等奖获得者,可"破格"直接入围。
3、综合录取:最终综合成绩=高考成绩85%+高校校测成绩15%。
二
39所高校2026年招生简章全览
1、数据由汇智起航团队汇总整理,如有疏漏请留言指正 2、更多学科竞赛讯息,推荐关注【汇智起航微课堂】公众号 |
三
2026强基计划招生简章发布时间
及报名时间汇总

四
只考面试的16所院校招生要点汇总
今年共有16所院校仅考面试,较去年增加了兰州大学。16所院校包含:北京理工大学、南开大学、哈尔滨工业大学、重庆大学、中山大学、电子科技大学、华中科技大学、中国海洋大学、中南大学、湖南大学、天津大学、华南理工大学、大连理工大学、西北工业大学、西北农林科技大学、兰州大学。
各高校普遍会重点考察学生的专业志趣,综合素质,学科能力及创新能力,分析解决问题能力,全面评估考生在基础学科领域的潜力与素养。

01
入围规则
入围基本要求:
无论是第一类考生还是第二类考生,高考成绩达到本省同科类一本线/特招线是基本要求。
第一类考生:
加权分数入围:北京理工大学、南开大学、哈尔滨工业大学、电子科技大学、中科海洋大学、湖南大学、天津大学、华南理工大学、大连理工大学、西北农林科技大学、兰州大学。
“小破格”入围:北京理工大学、中山大学、电子科技大学、中山大学、电子科技大学、华中科技大学、中南大学、湖南大学、天津大学、华南理工大学、大连理工大学、西北工业大学、西北农林科技大学、兰州大学。
第二类考生:
基本要求在学科竞赛国二,数学、物理、化学认可度最高。其中,哈尔滨工业大学不认可生物学奖项、西北工业大学不认可生物学、信息学奖项。
02
招生专业
多所高校新增国家急需硬核专业。其中,哈尔滨工业大学新增储能科学与工程专业;天津大学、西北工业大学新增船舶与海洋工程工程专业;兰州大学新增核化工和核燃料工程专业。
南开大学、华中科技大学、中山大学3所高校有文史哲专业招生计划,文科生可以重点关注一下这几所院校。
五
报考仅面试院校注意事项及备考攻略
在这16所仅面试的院校里,多数并非面向全国招生。大家在报名前,务必先核对对应省份的招生计划,若招生名额偏少,录取偶然性会较高,报考时需要谨慎考虑。
没有竞赛经历、或是数理基础相对薄弱的考生,可以重点关注这16所仅面试的高校。但也要注意,仅面试不等于考试难度更低,多数院校在面试中都会涉及专业相关问题与综合学科素养的考查。
备考建议
备考强基面试,要多关注对应学科的前沿动态,重视综合素质材料与探究式科研能力,做好日常积累并开展模拟面试。报考前务必充分准备,提前梳理面试可能考查的范围,做好分类笔记。
同时要留意时事政治与社会热点,学会多角度分析问题,培养学科特长思维,善于把话题和目标专业结合起来。学有余力的同学,可适当拓展数理化生信等学科的竞赛相关素养。
尽量模拟真实面试场景,从考题、考场环境到考官氛围全面模拟,借此打磨面试仪态、查找不足、建立面试自信。
六
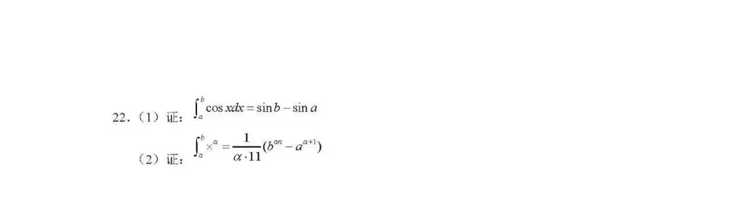
强基计划2025年笔试真题汇总
北京大学

清华大学

上海交通大学

中国科学技术大学

西安交通大学

北京航空航天大学

东南大学



同济大学

兰州大学

厦门大学

七
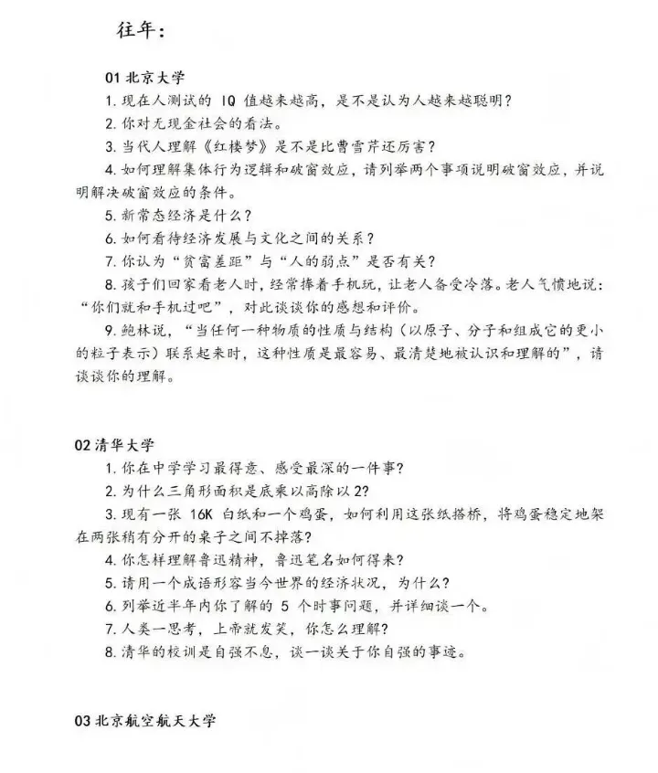
强基计划面试真题汇总












想要了解更多学科竞赛相关内容,关注小智,小智会持续更新!
可根据下方联系方式联系我们!!
往期合辑精选
往期文章精选





01 数学 学科竞赛组
张老师:18731233394
02 物理 学科竞赛组
张老师:13241472431
03 化学 学科竞赛组
迈老师: 13121274687
04 生物 学科竞赛组
05 实验室建设咨询
于老师:13241497688

