当前位置:首页>面试真题>复旦大学2025年强基计划面试真题(数学专业+各专业通用)

复旦大学2025年强基计划面试真题(数学专业+各专业通用)

  • 2026-04-28 17:01:57
复旦大学2025年强基计划面试真题(数学专业+各专业通用)
复旦大学强基计划校测分为初试(笔试)和复试(笔试 + 面试 + 体测),考试内容按专业分类设置,整体难度高于高考、接近竞赛水平。

一、初试(笔试,A 类考生必考,B 类考生免考)

时间:高考后、出分前(通常 6 月中旬)时长:120 分钟形式:闭卷笔试,全部为选择题,选错倒扣分

理科类专业

数学与应用数学:数学(约 30 题)
物理学类:物理(约 40 题)
信息与计算科学:计算与算法
化学类:化学(约 35–50 题)
生物科学类、基础医学:数理化综合(数学 16 题 + 物理 12 题 + 化学 12 题)

文科类专业

中国语言文学类(古文字学)、历史学、哲学类:文史哲综合(文、史、哲各 30 题,共 90 题)

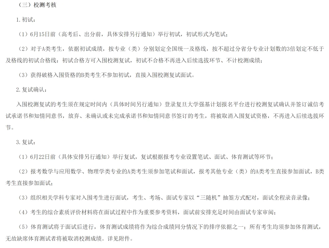
二、复试(所有入围考生均参加)

时间:6 月下旬内容:

笔试(仅 A 类考生中数学与应用数学、物理学类需加试)

面试(所有考生):“三随机” 抽签配对,全程录像,考察专业兴趣、科研潜质、综合素养

体育测试(所有考生):成绩用于同分排序,无故缺考影响录取

三、校测成绩构成(A 类考生)

校测总分 = 笔试成绩(100 分) + 面试成绩(100 分)
数学 / 物理类:笔试成绩取复试笔试
其他专业:笔试成绩取初试笔试

四、难度与备考方向

理科:深度高于高考,接近竞赛初赛水平,侧重思维与应用
文科:知识面广、强调积累与思辨,不限于教材内容

复旦大学强基计划笔试面试题库(数学专业+各专业通用)

方案1:
复旦大学强基计划数学专业备考资料包含
  1. 2020-2025年复旦大学强基计划初始复试数学笔试题及答案
  2. 复旦大学强基计划面试真题和解析
  3. 复旦大学强基计划面试备考技巧
  4. 其他高校强基计划数学真题集
  5. 自我介绍、未来规划模板(面试必备)
赠送强基计划数学+面试通用录播课(10小时)
方案2:
复旦大学强基计划面试集训班--鸡蛋教育
⏰ 开班时间:每日开班,灵活排班
📌 授课形式:线上腾讯会议(支持回放)
💡 课程内容(4 小时):
1h 近 3 年真题分类解析(自我认知 / 社会热点 / 专业题等 6 大题型)
1h 应答技巧(专业问题拆解逻辑 + 临场应变方法)
2h 全真模拟(还原面试场景,考官实时点评)
🎓 师资力量:985/211 院校背景,3 年 + 综评培训经验,部分参与高校面试评审
✅ 过往成果:往年学员通过率 70%+
🎁 增值服务:赠《真题汇编》《时政热点集》,课后免费答疑

📞 咨询报名:

程老师 18730705062

杨老师 18101092019

第一部分:数学专业专项(20题)

一、个人动机与适配类(4题)

题目1:你为什么选择复旦大学强基计划的数学专业,而不是其他高校或其他专业?回答:首先,复旦大学的数学学科实力雄厚,在基础数学、应用数学等领域的科研成果和师资力量均处于国内顶尖水平,尤其是强基计划聚焦“拔尖人才”培养,采用小班化、个性化的培养模式,能让我深耕基础数学领域,这是我选择复旦的核心原因。其次,我始终认为数学是所有自然科学的基础,强基计划的培养目标是“服务国家重大战略需求”,而数学正是芯片研发、人工智能、量子计算等关键领域的核心支撑,这与我“用数学助力国家科技发展”的理想高度契合。最后,相比其他专业,我对数学的逻辑严谨性和抽象思维魅力充满兴趣,高中阶段通过竞赛和研究性学习积累了一定的基础,而复旦强基能为我提供更系统的学术训练和科研平台,让我在数学领域持续深耕。
题目2:你对复旦大学数学专业的研究方向有哪些了解?未来想深耕哪个方向?回答:我了解到复旦大学数学科学学院涵盖基础数学、应用数学、计算数学、概率统计等多个研究方向,其中基础数学是国家重点学科,在数论、代数、几何等领域成果显著,应用数学则聚焦人工智能、大数据分析等交叉领域,贴合国家战略需求。未来我希望深耕基础数学中的数论方向,一方面是因为数论是数学的“皇冠”,其严谨的逻辑和纯粹的学术性深深吸引我,高中阶段我通过自学了解了初等数论的基础内容,感受到了数论在密码学等领域的潜在应用价值;另一方面,基础数学是所有应用数学方向的根基,只有扎实掌握基础理论,才能在后续的交叉领域中实现创新突破,这也符合强基计划“夯实基础、拔尖创新”的培养理念。
题目3:谈谈你对复旦大学“博学而笃志,切问而近思”校训的理解,以及它如何影响你学习数学的态度?回答:“博学而笃志”指的是广泛学习知识、坚定自己的志向,“切问而近思”则强调勤于提问、脚踏实地思考,这一校训恰好契合数学学习的核心要求。学习数学既要广泛涉猎不同分支的知识,了解数学的整体框架,又要坚定深耕基础的志向,不急于求成、不追求表面成果;同时,数学的学习离不开质疑与思考,遇到难题时,既要敢于提出疑问,又要立足基础、逐步推导,不空想、不浮躁。这一校训也影响着我:在高中数学学习中,我不仅扎实掌握课本知识,还主动自学竞赛内容、阅读数学科普书籍,拓宽知识面;面对复杂的数学问题,我始终保持严谨的态度,逐步拆解、深入思考,不轻易放弃,这种态度也让我在数学学习中不断进步,更坚定了我在复旦深耕数学的决心。

个人认知与复旦适配类(4题)

题目1:请用3分钟介绍一下自己,重点说明你适合复旦大学强基计划的原因。回答:各位老师好,我是XXX,来自XX中学。我始终秉持“踏实笃行、求真致远”的学习态度,在高中阶段不仅扎实掌握各学科基础,还注重培养自己的逻辑思维、创新能力和问题解决能力。我之所以适合复旦大学强基计划,核心有三点:第一,我对所选基础学科充满热爱,愿意深耕其中,这与强基计划“拔尖创新、服务国家”的培养理念高度契合,我始终相信,唯有热爱才能支撑长期的学术探索。第二,我具备较强的自主学习能力和抗压能力,高中阶段通过自主拓展学习、参与学科实践,积累了扎实的学科基础,也培养了面对难题不退缩、主动探索的品质,能够适应强基计划的高强度学习节奏。第三,我十分认同复旦大学“博学而笃志,切问而近思”的校训,渴望在复旦浓厚的学术氛围中,跟随优质师资学习,借助学校的科研平台提升自己,最终成长为符合国家需求的基础学科人才,为学科发展和国家建设贡献力量。
题目2:你认为复旦大学的核心优势是什么?这对你的成长有哪些帮助?回答:我认为复旦大学的核心优势体现在三个方面:一是顶尖的师资力量和科研实力,作为国内顶尖高校,复旦汇聚了各领域的优秀学者,拥有完善的科研平台,能够为学生提供最前沿的学术资源和科研机会;二是浓厚的学术氛围和多元的培养模式,复旦鼓励学术创新、尊重个性发展,强基计划的小班化、个性化培养,能让每个学生都得到针对性的指导;三是深厚的文化底蕴和家国情怀,复旦始终以“服务国家、奉献社会”为使命,培养的人才既具备扎实的专业能力,又拥有强烈的社会责任感。这些优势对我的成长至关重要:优质的师资能为我指明学术方向,帮我夯实基础、提升科研能力;浓厚的学术氛围能激发我的探索欲,培养我的批判性思维;而学校的家国情怀导向,能让我始终牢记初心,将个人成长与国家需求紧密结合,成长为有理想、有本领、有担当的基础学科人才。
题目3:你在高中阶段最有成就感的一件事是什么?从中收获了什么?回答:我高中阶段最有成就感的一件事,是带领团队完成了一项“校园垃圾分类优化”的研究性学习项目。当时学校垃圾分类推行效果不佳,我主动牵头,联合3名同学组成团队,从调研校园垃圾分类现状、分析问题根源,到设计优化方案、落地推广,前后花费了3个月时间。过程中,我们遇到了调研数据不足、同学配合度不高、方案难以落地等问题,但我们没有放弃,通过分工合作、多次调整方案、主动向老师请教,最终形成了一套可行的优化方案,被学校采纳,有效提升了校园垃圾分类的准确率。这件事让我收获良多:一是培养了我的团队协作能力和沟通能力,让我明白团队的力量远大于个人;二是提升了我的问题解决能力和抗压能力,学会了面对困难不逃避、主动寻找解决方案;三是让我体会到“实践出真知”,只有将理论知识与实际结合,才能真正解决问题,这也让我更加坚定了投身基础学科、用专业知识解决实际问题的决心。
复旦大学强基计划全解析,历年招生专业分数笔试面试真题
复旦大学2026年三位一体报考全指南(历年笔试面试真题与关键信息)
复旦大学信息与计算科学强基计划解读,录取分数,考核方向及培养方案

如果有不清楚的问题,例如强基计划申请咨询、笔试真题、面试辅导

我们团队有985毕业就读经验,亲身经历,专业有效,请随时咨询

一篇文章搞懂2026强基计划热门问题,简章备考、录取分数、校测真题

2025强基计划校测怎么考?笔试、面试如何快速提升?往年真题面试流程、考法汇总、备考指南

39所强基计划高校2025年面试真题汇总
2026年“华五”强基计划学生成功转段研究生的录取情况公布
一文读懂强基计划,从报考、择校到考试、录取
2025最新强基计划真题汇总
2025强基各高校各省市强基招生计划人数
39所高校,强基计划招生专业、选科要求及未来发展就业方向盘点
2025年强基计划高校招生简章汇总
2025年强基计划招生高校录取分数线汇总
强基计划模拟面试培训课!往年考情与真题分享!
强基计划工科专业、转段、培养项目盘点
竞赛生报考强基计划有何优势?
报名即可入围的强基计划院校盘点!复旦、上交、南大等12校,适合哪类考生?
2025年强基计划真题合集+答案汇总

想要了解更多关于高中领域的升学规划、多途径升学(强基、综评、专项计划、港澳院校申请、海外留学等)、志愿填报、院校/专业选择、就业升学等信息,可识别二维码在线咨询鸡蛋老师。

最新文章

随机文章

基本 文件 流程 错误 SQL 调试
  1. 请求信息 : 2026-05-06 08:54:50 HTTP/2.0 GET : https://15386.cn/a/461903.html
  2. 运行时间 : 0.097078s [ 吞吐率:10.30req/s ] 内存消耗:4,612.06kb 文件加载:140
  3. 缓存信息 : 0 reads,0 writes
  4. 会话信息 : SESSION_ID=35527cf6aed4feaa8ca3764adbc97c35
  1. /yingpanguazai/ssd/ssd1/www/no.15386.cn/public/index.php ( 0.79 KB )
  2. /yingpanguazai/ssd/ssd1/www/no.15386.cn/vendor/autoload.php ( 0.17 KB )
  3. /yingpanguazai/ssd/ssd1/www/no.15386.cn/vendor/composer/autoload_real.php ( 2.49 KB )
  4. /yingpanguazai/ssd/ssd1/www/no.15386.cn/vendor/composer/platform_check.php ( 0.90 KB )
  5. /yingpanguazai/ssd/ssd1/www/no.15386.cn/vendor/composer/ClassLoader.php ( 14.03 KB )
  6. /yingpanguazai/ssd/ssd1/www/no.15386.cn/vendor/composer/autoload_static.php ( 4.90 KB )
  7. /yingpanguazai/ssd/ssd1/www/no.15386.cn/vendor/topthink/think-helper/src/helper.php ( 8.34 KB )
  8. /yingpanguazai/ssd/ssd1/www/no.15386.cn/vendor/topthink/think-validate/src/helper.php ( 2.19 KB )
  9. /yingpanguazai/ssd/ssd1/www/no.15386.cn/vendor/topthink/think-orm/src/helper.php ( 1.47 KB )
  10. /yingpanguazai/ssd/ssd1/www/no.15386.cn/vendor/topthink/think-orm/stubs/load_stubs.php ( 0.16 KB )
  11. /yingpanguazai/ssd/ssd1/www/no.15386.cn/vendor/topthink/framework/src/think/Exception.php ( 1.69 KB )
  12. /yingpanguazai/ssd/ssd1/www/no.15386.cn/vendor/topthink/think-container/src/Facade.php ( 2.71 KB )
  13. /yingpanguazai/ssd/ssd1/www/no.15386.cn/vendor/symfony/deprecation-contracts/function.php ( 0.99 KB )
  14. /yingpanguazai/ssd/ssd1/www/no.15386.cn/vendor/symfony/polyfill-mbstring/bootstrap.php ( 8.26 KB )
  15. /yingpanguazai/ssd/ssd1/www/no.15386.cn/vendor/symfony/polyfill-mbstring/bootstrap80.php ( 9.78 KB )
  16. /yingpanguazai/ssd/ssd1/www/no.15386.cn/vendor/symfony/var-dumper/Resources/functions/dump.php ( 1.49 KB )
  17. /yingpanguazai/ssd/ssd1/www/no.15386.cn/vendor/topthink/think-dumper/src/helper.php ( 0.18 KB )
  18. /yingpanguazai/ssd/ssd1/www/no.15386.cn/vendor/symfony/var-dumper/VarDumper.php ( 4.30 KB )
  19. /yingpanguazai/ssd/ssd1/www/no.15386.cn/vendor/topthink/framework/src/think/App.php ( 15.30 KB )
  20. /yingpanguazai/ssd/ssd1/www/no.15386.cn/vendor/topthink/think-container/src/Container.php ( 15.76 KB )
  21. /yingpanguazai/ssd/ssd1/www/no.15386.cn/vendor/psr/container/src/ContainerInterface.php ( 1.02 KB )
  22. /yingpanguazai/ssd/ssd1/www/no.15386.cn/app/provider.php ( 0.19 KB )
  23. /yingpanguazai/ssd/ssd1/www/no.15386.cn/vendor/topthink/framework/src/think/Http.php ( 6.04 KB )
  24. /yingpanguazai/ssd/ssd1/www/no.15386.cn/vendor/topthink/think-helper/src/helper/Str.php ( 7.29 KB )
  25. /yingpanguazai/ssd/ssd1/www/no.15386.cn/vendor/topthink/framework/src/think/Env.php ( 4.68 KB )
  26. /yingpanguazai/ssd/ssd1/www/no.15386.cn/app/common.php ( 0.03 KB )
  27. /yingpanguazai/ssd/ssd1/www/no.15386.cn/vendor/topthink/framework/src/helper.php ( 18.78 KB )
  28. /yingpanguazai/ssd/ssd1/www/no.15386.cn/vendor/topthink/framework/src/think/Config.php ( 5.54 KB )
  29. /yingpanguazai/ssd/ssd1/www/no.15386.cn/config/app.php ( 0.95 KB )
  30. /yingpanguazai/ssd/ssd1/www/no.15386.cn/config/cache.php ( 0.78 KB )
  31. /yingpanguazai/ssd/ssd1/www/no.15386.cn/config/console.php ( 0.23 KB )
  32. /yingpanguazai/ssd/ssd1/www/no.15386.cn/config/cookie.php ( 0.56 KB )
  33. /yingpanguazai/ssd/ssd1/www/no.15386.cn/config/database.php ( 2.48 KB )
  34. /yingpanguazai/ssd/ssd1/www/no.15386.cn/vendor/topthink/framework/src/think/facade/Env.php ( 1.67 KB )
  35. /yingpanguazai/ssd/ssd1/www/no.15386.cn/config/filesystem.php ( 0.61 KB )
  36. /yingpanguazai/ssd/ssd1/www/no.15386.cn/config/lang.php ( 0.91 KB )
  37. /yingpanguazai/ssd/ssd1/www/no.15386.cn/config/log.php ( 1.35 KB )
  38. /yingpanguazai/ssd/ssd1/www/no.15386.cn/config/middleware.php ( 0.19 KB )
  39. /yingpanguazai/ssd/ssd1/www/no.15386.cn/config/route.php ( 1.89 KB )
  40. /yingpanguazai/ssd/ssd1/www/no.15386.cn/config/session.php ( 0.57 KB )
  41. /yingpanguazai/ssd/ssd1/www/no.15386.cn/config/trace.php ( 0.34 KB )
  42. /yingpanguazai/ssd/ssd1/www/no.15386.cn/config/view.php ( 0.82 KB )
  43. /yingpanguazai/ssd/ssd1/www/no.15386.cn/app/event.php ( 0.25 KB )
  44. /yingpanguazai/ssd/ssd1/www/no.15386.cn/vendor/topthink/framework/src/think/Event.php ( 7.67 KB )
  45. /yingpanguazai/ssd/ssd1/www/no.15386.cn/app/service.php ( 0.13 KB )
  46. /yingpanguazai/ssd/ssd1/www/no.15386.cn/app/AppService.php ( 0.26 KB )
  47. /yingpanguazai/ssd/ssd1/www/no.15386.cn/vendor/topthink/framework/src/think/Service.php ( 1.64 KB )
  48. /yingpanguazai/ssd/ssd1/www/no.15386.cn/vendor/topthink/framework/src/think/Lang.php ( 7.35 KB )
  49. /yingpanguazai/ssd/ssd1/www/no.15386.cn/vendor/topthink/framework/src/lang/zh-cn.php ( 13.70 KB )
  50. /yingpanguazai/ssd/ssd1/www/no.15386.cn/vendor/topthink/framework/src/think/initializer/Error.php ( 3.31 KB )
  51. /yingpanguazai/ssd/ssd1/www/no.15386.cn/vendor/topthink/framework/src/think/initializer/RegisterService.php ( 1.33 KB )
  52. /yingpanguazai/ssd/ssd1/www/no.15386.cn/vendor/services.php ( 0.14 KB )
  53. /yingpanguazai/ssd/ssd1/www/no.15386.cn/vendor/topthink/framework/src/think/service/PaginatorService.php ( 1.52 KB )
  54. /yingpanguazai/ssd/ssd1/www/no.15386.cn/vendor/topthink/framework/src/think/service/ValidateService.php ( 0.99 KB )
  55. /yingpanguazai/ssd/ssd1/www/no.15386.cn/vendor/topthink/framework/src/think/service/ModelService.php ( 2.04 KB )
  56. /yingpanguazai/ssd/ssd1/www/no.15386.cn/vendor/topthink/think-trace/src/Service.php ( 0.77 KB )
  57. /yingpanguazai/ssd/ssd1/www/no.15386.cn/vendor/topthink/framework/src/think/Middleware.php ( 6.72 KB )
  58. /yingpanguazai/ssd/ssd1/www/no.15386.cn/vendor/topthink/framework/src/think/initializer/BootService.php ( 0.77 KB )
  59. /yingpanguazai/ssd/ssd1/www/no.15386.cn/vendor/topthink/think-orm/src/Paginator.php ( 11.86 KB )
  60. /yingpanguazai/ssd/ssd1/www/no.15386.cn/vendor/topthink/think-validate/src/Validate.php ( 63.20 KB )
  61. /yingpanguazai/ssd/ssd1/www/no.15386.cn/vendor/topthink/think-orm/src/Model.php ( 23.55 KB )
  62. /yingpanguazai/ssd/ssd1/www/no.15386.cn/vendor/topthink/think-orm/src/model/concern/Attribute.php ( 21.05 KB )
  63. /yingpanguazai/ssd/ssd1/www/no.15386.cn/vendor/topthink/think-orm/src/model/concern/AutoWriteData.php ( 4.21 KB )
  64. /yingpanguazai/ssd/ssd1/www/no.15386.cn/vendor/topthink/think-orm/src/model/concern/Conversion.php ( 6.44 KB )
  65. /yingpanguazai/ssd/ssd1/www/no.15386.cn/vendor/topthink/think-orm/src/model/concern/DbConnect.php ( 5.16 KB )
  66. /yingpanguazai/ssd/ssd1/www/no.15386.cn/vendor/topthink/think-orm/src/model/concern/ModelEvent.php ( 2.33 KB )
  67. /yingpanguazai/ssd/ssd1/www/no.15386.cn/vendor/topthink/think-orm/src/model/concern/RelationShip.php ( 28.29 KB )
  68. /yingpanguazai/ssd/ssd1/www/no.15386.cn/vendor/topthink/think-helper/src/contract/Arrayable.php ( 0.09 KB )
  69. /yingpanguazai/ssd/ssd1/www/no.15386.cn/vendor/topthink/think-helper/src/contract/Jsonable.php ( 0.13 KB )
  70. /yingpanguazai/ssd/ssd1/www/no.15386.cn/vendor/topthink/think-orm/src/model/contract/Modelable.php ( 0.09 KB )
  71. /yingpanguazai/ssd/ssd1/www/no.15386.cn/vendor/topthink/framework/src/think/Db.php ( 2.88 KB )
  72. /yingpanguazai/ssd/ssd1/www/no.15386.cn/vendor/topthink/think-orm/src/DbManager.php ( 8.52 KB )
  73. /yingpanguazai/ssd/ssd1/www/no.15386.cn/vendor/topthink/framework/src/think/Log.php ( 6.28 KB )
  74. /yingpanguazai/ssd/ssd1/www/no.15386.cn/vendor/topthink/framework/src/think/Manager.php ( 3.92 KB )
  75. /yingpanguazai/ssd/ssd1/www/no.15386.cn/vendor/psr/log/src/LoggerTrait.php ( 2.69 KB )
  76. /yingpanguazai/ssd/ssd1/www/no.15386.cn/vendor/psr/log/src/LoggerInterface.php ( 2.71 KB )
  77. /yingpanguazai/ssd/ssd1/www/no.15386.cn/vendor/topthink/framework/src/think/Cache.php ( 4.92 KB )
  78. /yingpanguazai/ssd/ssd1/www/no.15386.cn/vendor/psr/simple-cache/src/CacheInterface.php ( 4.71 KB )
  79. /yingpanguazai/ssd/ssd1/www/no.15386.cn/vendor/topthink/think-helper/src/helper/Arr.php ( 16.63 KB )
  80. /yingpanguazai/ssd/ssd1/www/no.15386.cn/vendor/topthink/framework/src/think/cache/driver/File.php ( 7.84 KB )
  81. /yingpanguazai/ssd/ssd1/www/no.15386.cn/vendor/topthink/framework/src/think/cache/Driver.php ( 9.03 KB )
  82. /yingpanguazai/ssd/ssd1/www/no.15386.cn/vendor/topthink/framework/src/think/contract/CacheHandlerInterface.php ( 1.99 KB )
  83. /yingpanguazai/ssd/ssd1/www/no.15386.cn/app/Request.php ( 0.09 KB )
  84. /yingpanguazai/ssd/ssd1/www/no.15386.cn/vendor/topthink/framework/src/think/Request.php ( 55.78 KB )
  85. /yingpanguazai/ssd/ssd1/www/no.15386.cn/app/middleware.php ( 0.25 KB )
  86. /yingpanguazai/ssd/ssd1/www/no.15386.cn/vendor/topthink/framework/src/think/Pipeline.php ( 2.61 KB )
  87. /yingpanguazai/ssd/ssd1/www/no.15386.cn/vendor/topthink/think-trace/src/TraceDebug.php ( 3.40 KB )
  88. /yingpanguazai/ssd/ssd1/www/no.15386.cn/vendor/topthink/framework/src/think/middleware/SessionInit.php ( 1.94 KB )
  89. /yingpanguazai/ssd/ssd1/www/no.15386.cn/vendor/topthink/framework/src/think/Session.php ( 1.80 KB )
  90. /yingpanguazai/ssd/ssd1/www/no.15386.cn/vendor/topthink/framework/src/think/session/driver/File.php ( 6.27 KB )
  91. /yingpanguazai/ssd/ssd1/www/no.15386.cn/vendor/topthink/framework/src/think/contract/SessionHandlerInterface.php ( 0.87 KB )
  92. /yingpanguazai/ssd/ssd1/www/no.15386.cn/vendor/topthink/framework/src/think/session/Store.php ( 7.12 KB )
  93. /yingpanguazai/ssd/ssd1/www/no.15386.cn/vendor/topthink/framework/src/think/Route.php ( 23.73 KB )
  94. /yingpanguazai/ssd/ssd1/www/no.15386.cn/vendor/topthink/framework/src/think/route/RuleName.php ( 5.75 KB )
  95. /yingpanguazai/ssd/ssd1/www/no.15386.cn/vendor/topthink/framework/src/think/route/Domain.php ( 2.53 KB )
  96. /yingpanguazai/ssd/ssd1/www/no.15386.cn/vendor/topthink/framework/src/think/route/RuleGroup.php ( 22.43 KB )
  97. /yingpanguazai/ssd/ssd1/www/no.15386.cn/vendor/topthink/framework/src/think/route/Rule.php ( 26.95 KB )
  98. /yingpanguazai/ssd/ssd1/www/no.15386.cn/vendor/topthink/framework/src/think/route/RuleItem.php ( 9.78 KB )
  99. /yingpanguazai/ssd/ssd1/www/no.15386.cn/route/app.php ( 1.72 KB )
  100. /yingpanguazai/ssd/ssd1/www/no.15386.cn/vendor/topthink/framework/src/think/facade/Route.php ( 4.70 KB )
  101. /yingpanguazai/ssd/ssd1/www/no.15386.cn/vendor/topthink/framework/src/think/route/dispatch/Controller.php ( 4.74 KB )
  102. /yingpanguazai/ssd/ssd1/www/no.15386.cn/vendor/topthink/framework/src/think/route/Dispatch.php ( 10.44 KB )
  103. /yingpanguazai/ssd/ssd1/www/no.15386.cn/app/controller/Index.php ( 4.81 KB )
  104. /yingpanguazai/ssd/ssd1/www/no.15386.cn/app/BaseController.php ( 2.05 KB )
  105. /yingpanguazai/ssd/ssd1/www/no.15386.cn/vendor/topthink/think-orm/src/facade/Db.php ( 0.93 KB )
  106. /yingpanguazai/ssd/ssd1/www/no.15386.cn/vendor/topthink/think-orm/src/db/connector/Mysql.php ( 5.44 KB )
  107. /yingpanguazai/ssd/ssd1/www/no.15386.cn/vendor/topthink/think-orm/src/db/PDOConnection.php ( 52.47 KB )
  108. /yingpanguazai/ssd/ssd1/www/no.15386.cn/vendor/topthink/think-orm/src/db/Connection.php ( 8.39 KB )
  109. /yingpanguazai/ssd/ssd1/www/no.15386.cn/vendor/topthink/think-orm/src/db/ConnectionInterface.php ( 4.57 KB )
  110. /yingpanguazai/ssd/ssd1/www/no.15386.cn/vendor/topthink/think-orm/src/db/builder/Mysql.php ( 16.58 KB )
  111. /yingpanguazai/ssd/ssd1/www/no.15386.cn/vendor/topthink/think-orm/src/db/Builder.php ( 24.06 KB )
  112. /yingpanguazai/ssd/ssd1/www/no.15386.cn/vendor/topthink/think-orm/src/db/BaseBuilder.php ( 27.50 KB )
  113. /yingpanguazai/ssd/ssd1/www/no.15386.cn/vendor/topthink/think-orm/src/db/Query.php ( 15.71 KB )
  114. /yingpanguazai/ssd/ssd1/www/no.15386.cn/vendor/topthink/think-orm/src/db/BaseQuery.php ( 45.13 KB )
  115. /yingpanguazai/ssd/ssd1/www/no.15386.cn/vendor/topthink/think-orm/src/db/concern/TimeFieldQuery.php ( 7.43 KB )
  116. /yingpanguazai/ssd/ssd1/www/no.15386.cn/vendor/topthink/think-orm/src/db/concern/AggregateQuery.php ( 3.26 KB )
  117. /yingpanguazai/ssd/ssd1/www/no.15386.cn/vendor/topthink/think-orm/src/db/concern/ModelRelationQuery.php ( 20.07 KB )
  118. /yingpanguazai/ssd/ssd1/www/no.15386.cn/vendor/topthink/think-orm/src/db/concern/ParamsBind.php ( 3.66 KB )
  119. /yingpanguazai/ssd/ssd1/www/no.15386.cn/vendor/topthink/think-orm/src/db/concern/ResultOperation.php ( 7.01 KB )
  120. /yingpanguazai/ssd/ssd1/www/no.15386.cn/vendor/topthink/think-orm/src/db/concern/WhereQuery.php ( 19.37 KB )
  121. /yingpanguazai/ssd/ssd1/www/no.15386.cn/vendor/topthink/think-orm/src/db/concern/JoinAndViewQuery.php ( 7.11 KB )
  122. /yingpanguazai/ssd/ssd1/www/no.15386.cn/vendor/topthink/think-orm/src/db/concern/TableFieldInfo.php ( 2.63 KB )
  123. /yingpanguazai/ssd/ssd1/www/no.15386.cn/vendor/topthink/think-orm/src/db/concern/Transaction.php ( 2.77 KB )
  124. /yingpanguazai/ssd/ssd1/www/no.15386.cn/vendor/topthink/framework/src/think/log/driver/File.php ( 5.96 KB )
  125. /yingpanguazai/ssd/ssd1/www/no.15386.cn/vendor/topthink/framework/src/think/contract/LogHandlerInterface.php ( 0.86 KB )
  126. /yingpanguazai/ssd/ssd1/www/no.15386.cn/vendor/topthink/framework/src/think/log/Channel.php ( 3.89 KB )
  127. /yingpanguazai/ssd/ssd1/www/no.15386.cn/vendor/topthink/framework/src/think/event/LogRecord.php ( 1.02 KB )
  128. /yingpanguazai/ssd/ssd1/www/no.15386.cn/vendor/topthink/think-helper/src/Collection.php ( 16.47 KB )
  129. /yingpanguazai/ssd/ssd1/www/no.15386.cn/vendor/topthink/framework/src/think/facade/View.php ( 1.70 KB )
  130. /yingpanguazai/ssd/ssd1/www/no.15386.cn/vendor/topthink/framework/src/think/View.php ( 4.39 KB )
  131. /yingpanguazai/ssd/ssd1/www/no.15386.cn/vendor/topthink/framework/src/think/Response.php ( 8.81 KB )
  132. /yingpanguazai/ssd/ssd1/www/no.15386.cn/vendor/topthink/framework/src/think/response/View.php ( 3.29 KB )
  133. /yingpanguazai/ssd/ssd1/www/no.15386.cn/vendor/topthink/framework/src/think/Cookie.php ( 6.06 KB )
  134. /yingpanguazai/ssd/ssd1/www/no.15386.cn/vendor/topthink/think-view/src/Think.php ( 8.38 KB )
  135. /yingpanguazai/ssd/ssd1/www/no.15386.cn/vendor/topthink/framework/src/think/contract/TemplateHandlerInterface.php ( 1.60 KB )
  136. /yingpanguazai/ssd/ssd1/www/no.15386.cn/vendor/topthink/think-template/src/Template.php ( 46.61 KB )
  137. /yingpanguazai/ssd/ssd1/www/no.15386.cn/vendor/topthink/think-template/src/template/driver/File.php ( 2.41 KB )
  138. /yingpanguazai/ssd/ssd1/www/no.15386.cn/vendor/topthink/think-template/src/template/contract/DriverInterface.php ( 0.86 KB )
  139. /yingpanguazai/ssd/ssd1/www/no.15386.cn/runtime/temp/97c957f747c268aee476c4e16775dd7c.php ( 12.06 KB )
  140. /yingpanguazai/ssd/ssd1/www/no.15386.cn/vendor/topthink/think-trace/src/Html.php ( 4.42 KB )
  1. CONNECT:[ UseTime:0.000574s ] mysql:host=127.0.0.1;port=3306;dbname=no_15386;charset=utf8mb4
  2. SHOW FULL COLUMNS FROM `fenlei` [ RunTime:0.000826s ]
  3. SELECT * FROM `fenlei` WHERE `fid` = 0 [ RunTime:0.000302s ]
  4. SELECT * FROM `fenlei` WHERE `fid` = 63 [ RunTime:0.000235s ]
  5. SHOW FULL COLUMNS FROM `set` [ RunTime:0.000510s ]
  6. SELECT * FROM `set` [ RunTime:0.000205s ]
  7. SHOW FULL COLUMNS FROM `article` [ RunTime:0.000623s ]
  8. SELECT * FROM `article` WHERE `id` = 461903 LIMIT 1 [ RunTime:0.000469s ]
  9. UPDATE `article` SET `lasttime` = 1778028890 WHERE `id` = 461903 [ RunTime:0.010762s ]
  10. SELECT * FROM `fenlei` WHERE `id` = 65 LIMIT 1 [ RunTime:0.000456s ]
  11. SELECT * FROM `article` WHERE `id` < 461903 ORDER BY `id` DESC LIMIT 1 [ RunTime:0.000686s ]
  12. SELECT * FROM `article` WHERE `id` > 461903 ORDER BY `id` ASC LIMIT 1 [ RunTime:0.000393s ]
  13. SELECT * FROM `article` WHERE `id` < 461903 ORDER BY `id` DESC LIMIT 10 [ RunTime:0.000879s ]
  14. SELECT * FROM `article` WHERE `id` < 461903 ORDER BY `id` DESC LIMIT 10,10 [ RunTime:0.004262s ]
  15. SELECT * FROM `article` WHERE `id` < 461903 ORDER BY `id` DESC LIMIT 20,10 [ RunTime:0.005359s ]
0.098665s